📑 목차
여름이 다가오면 설렘보다 걱정이 앞서는 분들이 많습니다. 바로 에어컨 때문이죠. "에어컨 켜면 요금 폭탄 맞는다"는 말은 반은 맞고 반은 틀립니다. 내가 쓰는 에어컨의 정체를 알고 누진세의 원리를 이해하면, 커피 몇 잔 값으로 한 달 내내 시원하게 보낼 수 있습니다.
오늘은 2026년 인상된 전기요금을 반영한 실전 계산법과 절전 꿀팁을 정리해 드립니다.
1. 내 에어컨의 '성적표'를 읽는 법
먼저 에어컨 옆면에 붙은 스티커(에너지소비효율등급)를 확인하세요. 두 가지만 보면 됩니다.
- 냉방 소비전력 (W): 에어컨이 최대 출력으로 가동될 때 쓰는 전기량입니다. 보통 1,500W~2,000W 수준입니다.
- 냉방효율 (W/W): 숫자가 높을수록 적은 전기로 큰 시원함을 낸다는 뜻입니다. 1등급 제품이 보통 이 숫자가 높습니다.
![[여름 필수] 에어컨 전기요금 폭탄 피하는 계산법과 2026 절전 가이드](https://blog.kakaocdn.net/dna/cmOTJh/dJMcagyseDC/AAAAAAAAAAAAAAAAAAAAAD4_hrNBWO8SrRqJ82ehZqvluf9gu_TgJ290PksuK3P0/img.jpg?credential=yqXZFxpELC7KVnFOS48ylbz2pIh7yKj8&expires=1777561199&allow_ip=&allow_referer=&signature=2x1p7zZg7dPq2KEVkMbHKk%2BAsrk%3D)
2. 에어컨 전기요금 실전 계산 공식
전기요금은 [소비전력 × 시간]으로 결정됩니다. 하지만 에어컨은 설정 온도에 도달하면 전력을 적게 쓰므로, 실제로는 '정격 소비전력'의 약 60~70% 정도만 사용한다고 계산하는 것이 현실적입니다.
![[여름 필수] 에어컨 전기요금 폭탄 피하는 계산법과 2026 절전 가이드](https://blog.kakaocdn.net/dna/AMPvk/dJMcagFg38K/AAAAAAAAAAAAAAAAAAAAAF7ddNr3yTNCH6KK5Vn_2AenKlpriFREH84Uptg9ryvB/img.jpg?credential=yqXZFxpELC7KVnFOS48ylbz2pIh7yKj8&expires=1777561199&allow_ip=&allow_referer=&signature=C9AWZsmLUmIac%2F%2Bk8HxXmJV0nUc%3D)
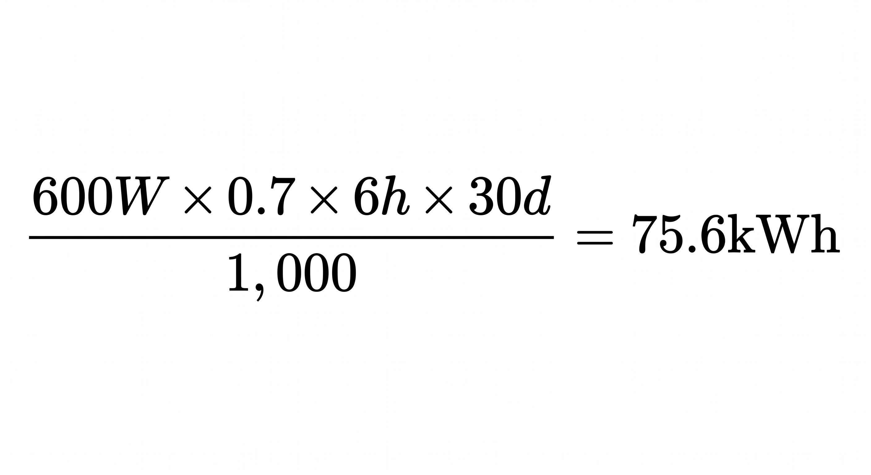
예시 시나리오: 자취생 A씨의 경우
- 에어컨: 6평형 벽걸이 (소비전력 600W)
- 사용 시간: 평일 저녁 6시간 사용
- 계산:

자취생이 에어컨만 썼을 때는 한 달에 약 1만 원대면 충분합니다. 그런데 왜 폭탄이 나올까요?
3. 요금 폭탄의 주범, '누진세'의 무서움
진짜 문제는 에어컨 단독 요금이 아니라, 집에서 쓰는 전체 전력량입니다. 2026년 기준 주택용 전기요금은 많이 쓸수록 단가가 최대 3배까지 뜁니다.
| 누진 단계 | 사용 구간 (7~8월) | 단가 (kWh당) | 비고 |
| 1단계 | 300kWh 이하 | 약 120원 | 평범한 1~2인 가구 |
| 2단계 | 301~450kWh | 약 214원 | 여기서부터 체감 요금 상승 |
| 3단계 | 450kWh 초과 | 약 307원 | 전기요금 폭탄 주의보 |
- Tip: 평소 내 전기 사용량이 300kWh 근처라면, 에어컨 사용으로 인해 2단계로 진입하는 순간 요금이 2배 이상 늘어납니다. '우리 집 평소 사용량'을 한전 에너지마켓플레이스나 관리비 고지서로 미리 확인하는 것이 필수입니다.
4. [중요] 인버터 vs 정속형, 사용법이 정반대입니다!
이걸 모르면 아무리 계산을 잘해도 소용없습니다. 내 에어컨이 어떤 방식인지에 따라 전기를 아끼는 방법이 완전히 다릅니다.
① 인버터형 (최근 10년 내 생산 모델)
- 원리: 온도가 내려가면 실외기 속도를 스스로 줄입니다.
- 절전 전략: 절대로 껐다 켰다 하지 마세요. 처음엔 18도로 강하게 틀어 온도를 빨리 낮춘 뒤, 이후에는 26~27도로 설정해 하루 종일 켜두는 게 요금이 더 적게 나옵니다.
② 정속형 (구형 또는 창문형 일부)
- 원리: 설정 온도에 도달해도 실외기가 100% 힘으로 계속 돕니다.
- 절전 전략: 온도가 시원해지면 강제로 껐다가, 더워지면 다시 켜는 **'수동 조절'**이 유리합니다.
5. 실전 고수들의 에어컨 절전 꿀팁 5가지
- 서큘레이터와 함께 사용: 찬 공기를 멀리 보내 실내 온도를 빨리 낮춥니다. (약 20% 절감)
- 필터 청소: 필터에 먼지가 끼면 냉방 능력이 떨어져 전기를 더 먹습니다. 2주에 한 번은 꼭 청소하세요.
- 실외기 관리: 실외기가 뜨거워지면 효율이 급락합니다. 그늘막을 설치하거나 주변에 물건을 치워 통풍이 잘되게 하세요.
- 커튼/블라인드 활용: 낮에 들어오는 직사광선만 막아도 실내 온도가 2~3도 낮아집니다.
- 제습 모드의 함정: 제습 모드도 결국 실외기가 돌아가기 때문에 냉방 모드와 전기료 차이가 거의 없습니다. 습도가 높은 날이 아니면 냉방으로 쓰세요.
6. 마무리: 아낀 전기세로 무엇을 할까요?
무조건 참는 것이 능사가 아닙니다. 원리를 알면 시원하게 지내면서도 충분히 돈을 아낄 수 있습니다. 이렇게 아낀 월 3~5만 원의 전기세는 우리 블로그의 핵심인 **[투자 통장]**으로 즉시 이체하세요. 여름이 끝날 때쯤 여러분의 통장에는 에어컨을 켜고도 모은 든든한 목돈이 쌓여 있을 것입니다.
함께 읽으면 좋은 글:
'생활 관리 > 자취생 & 사회 초년생' 카테고리의 다른 글
| [직장인 짠테크] 점심 5,000원의 마법, '거지맵' 활용 실전 가이드 (2026년판) (0) | 2026.04.19 |
|---|---|
| [단독] 2026년 4월 기후동행카드 3만원 페이백 받는 법 (자취생 필수) (0) | 2026.04.15 |
| [2026 실전편] 알뜰폰 6강 비교, 7개월 할인보다 정상가를 먼저 봐야 하는 이유 (0) | 2026.04.12 |
| 사회초년생 월급 관리의 시작, '통장 쪼개기' 4단계 완벽 가이드 (0) | 2026.04.09 |